Ce Este Perspectiva Narativa

Perspectiva Narativa

Perspectiva Narativa

Perspectiva Narativa

Perspectiva Narativa

Pdf Perspectiva Narativă Madi Pavel Academia Edu

Pdf Perspectiva Narativă Madi Pavel Academia Edu

Perspectiva Narativa

Perspectiva Narativa

Perspectiva Narativa

Perspectiva Narativa

Perspective Narative

Perspective Narative

Perspective Narative

Maitreyi Perspectiva Narativa

Maitreyi Perspectiva Narativa

Perspectiva Narativa

Perspectiva Narativa

Naratorul Omniscient Este Un Narator Obiectiv

Naratorul Omniscient Este Un Narator Obiectiv

Enigma Otiliei Perspectiva Narativa

Enigma Otiliei Perspectiva Narativa

Perspectiva Narativa

Perspectiva Narativa

Naratiunea Si Perspectiva Narativa Als Youtube

Naratiunea Si Perspectiva Narativa Als Youtube

Perspectiva Narativa Docx

Perspectiva Narativa Docx

Camil Petrescu Perspective Narative

Camil Petrescu Perspective Narative

Https Www Libris Ro W1 Userdocspdf 840 Limba 20romana 20teste 20pentru 20bacalaureat 20insotite 20de 20rezolvari Pdf

Https Www Libris Ro W1 Userdocspdf 840 Limba 20romana 20teste 20pentru 20bacalaureat 20insotite 20de 20rezolvari Pdf

Epic Naratologie 2013

Epic Naratologie 2013

Care Este Perspectiva Narativa In Acest Fragment Ofer Coroana Brainly Ro

Care Este Perspectiva Narativa In Acest Fragment Ofer Coroana Brainly Ro

Definitie Perspectiva Narativa

Definitie Perspectiva Narativa

2 Componente De Structura Compozitie Daca Scriu Titlul Perspectiva Narativa E Bine Tema Intra Printre Acestea Robac

2 Componente De Structura Compozitie Daca Scriu Titlul Perspectiva Narativa E Bine Tema Intra Printre Acestea Robac

Romanul Romanesc Modern

Romanul Romanesc Modern

Genul Epic

Genul Epic

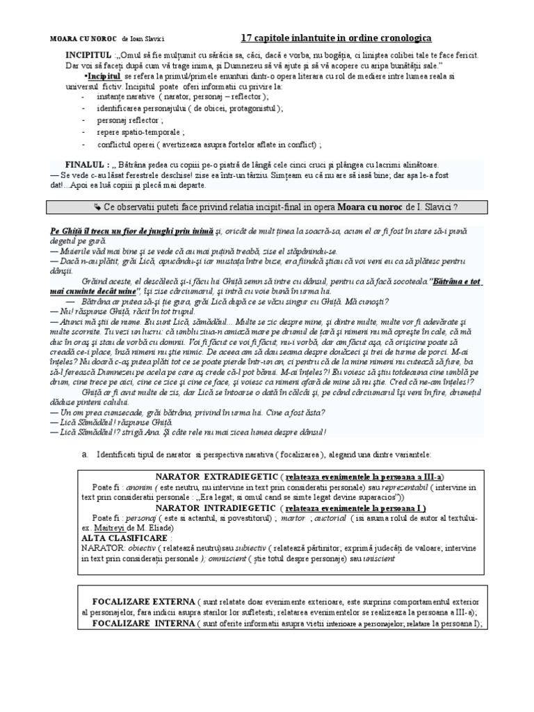
Moara Cu Noroc Narator Focalizare Stil Indirect Liber

Moara Cu Noroc Narator Focalizare Stil Indirect Liber

Care Este Diferenta Dintre Perspectiva Narativa Si Cea Obiectiva Brainly Ro

Care Este Diferenta Dintre Perspectiva Narativa Si Cea Obiectiva Brainly Ro

Baltagul

Baltagul

Doc Eseu Relatia Dintre Doua Personaje Ion Albert Mihai Academia Edu

Doc Eseu Relatia Dintre Doua Personaje Ion Albert Mihai Academia Edu

Chflzgy 0dz1 M

Chflzgy 0dz1 M

Cum Este Perspectiva Narativa In Alexandru Lapusneanul Dar Naratorul Este El Omnipotent Brainly Ro

Cum Este Perspectiva Narativa In Alexandru Lapusneanul Dar Naratorul Este El Omnipotent Brainly Ro

Perspectiva Narativa Intr O Proza Realista Obiectiva Intr O Opera Epica Famouswhy Ro

Perspectiva Narativa Intr O Proza Realista Obiectiva Intr O Opera Epica Famouswhy Ro

Tipuri De Perspectivă Narativă Diagram Quizlet

Tipuri De Perspectivă Narativă Diagram Quizlet

Enigma Otiliei George Calinescu Schema Jlk9o151k345

Enigma Otiliei George Calinescu Schema Jlk9o151k345

Source : pinterest.com